Give Your Users What They Want: Understanding How People Read Online

Originally written: Jun, 2012

How do people read online?

From NN: https://www.nngroup.com/articles/how-little-do-users-read/

They don’t — or at least they choose when they want to.

Content marketing would suggest that you want to put all your content out on the web for your consumers to view. In some cases, such as blogs and white papers, this approach is fine. People who have come to absorb your articles have specifically chosen to read your content because of your expertise — and it’s needed for SEO, but you can’t forget about the end user.

Keep it simple.

You know the importance of perfecting an ‘elevator pitch’ and this skill is vital when presenting content on the web. More often than not, the cover of a book has to tell us a story engaging enough to get us to turn the first page. When presenting content use enticing headlines, imagery (that is additive to the story), and quick bullets of information.

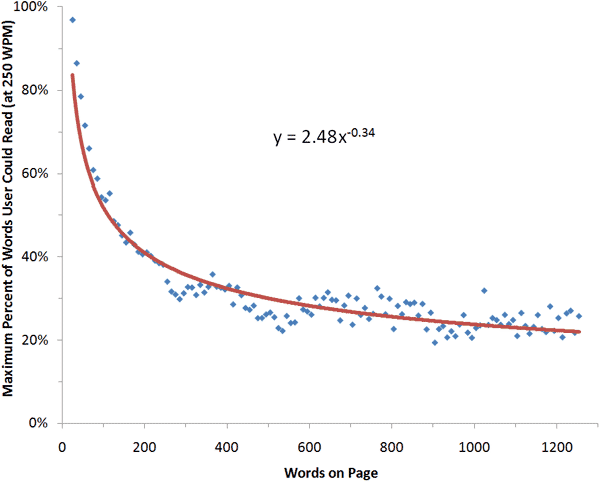
Web users at most have the time to read little more than 20% of the words on a web page during an average visit. With percentages like this, it is imperative that you are giving your readers content in a succinct fashion.

You cannot control how your user is viewing your site.

Are they laying on the couch on their tablet? Are they quickly trying to find information on their phone while walking down the street? Your reader’s attention span is most likely short. Help them skim.

When creating content that will be viewed through several channels (mobile, tablet, desktop) it is essential that you take the viewing area accessible to your user into consideration. A small paragraph on the desktop can fill the entire screen of a mobile device so write your content in a way that it can be consumed easily across multiple platforms.

Tips for helping your reader’s read your content:

1. People generally follow the “F” pattern, they read left to right and top to bottom. Place your most important content in the upper left hand portion of the page.

2. People skim content. Avoid fluff content and superfluous adjectives that aren’t adding depth to your material.

3. Write short sentences and use bullet points when possible to capture the most important content in the shortest amount of space.

4. Clearly define headers for each section by differentiating them by font or font weight from the paragraph copy.

Previous
Previous

Wireframes Taking the Fall for Process Pitfalls: Part 1

Next
Next

Gooooaaal! A Guide For Product Managers from a UXer